|

Table 6. New Single-Family
Home Sales: 1965-Present*
|
|
|

*Components may not add to totals because of rounding.
Units in thousands.
Sources: Bureau of the Census, Department of Commerce; and Office
of Policy Development and Research, Department of Housing and
Urban Development
|
|

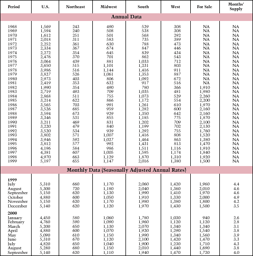
Table 7. Existing Single-Family Home Sales: 1968-Present* |
|
|

*Components may not add to totals because of rounding. Units in thousands.
Source: NATIONAL ASSOCIATION OF REALTORS®
|
|