|

Table 11. Housing
Affordability Index: 1970-Present
|
|
|

*The composite affordability index is the ratio of median family income to qualifying income. Values over one indicate that the typical (median) family has more than sufficient income to purchase the median-priced home.
1The Federal Housing Finance Board's monthly effective rate (points are amortized over 10 years) combines fixed-rate and adjustable-rate loans. Entries under Annual Data are averages of the monthly rates.
Source: NATIONAL ASSOCIATION OF REALTORS®
|
|

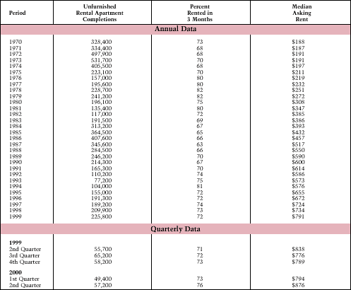
Table 12. Market
Absorption of New Rental Units and Median Asking Rent: 1970-Present
|
|
|

Sources: Bureau of the Census, Department of Commerce; and Office of Policy Development and Research, Department of Housing and Urban Development
|
|

Table 13. Builders'
Views of Housing Market Activity: 1978-Present
|
|
|

Source: National Association of Home Builders, Builders Economic Council Survey
|
|

Table 14. Mortgage
Interest Rates, Average Commitment Rates, and Points: 1972-Present
|
|
|

1 Annual data for the FHA rate are
based on the most active (modal) quote and the secondary market
discount (excluding origination fee) until 1994. Subsequent
annual and monthly data are based on the average rate quoted
and the primary market discount (excluding origination fee).
Sources: Office of Housing, Department of Housing and Urban
Development (FHA), and Federal Home Loan Mortgage Corporation
(Conventional)
*Mortgage loan interest rate data on FHA insured
loans are no longer collected by the Department of Housing and
Urban Development.
|
|