Historical Data

icon

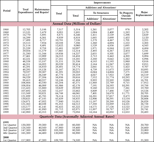
Table 19. Expenditures for Existing Residential Properties: 1968-Present

Table 19. Expenditures for Existing Residential Properties: 1968-Present
1Maintenance and repairs are incidental costs that keep a property in ordinary working condition.
2Additions and alterations to property outside the structure include walks, driveways, walls, fences, pools, garages, sheds, etc.
3Additions refer to actual enlargements of the structure.
4Alterations refer to changes or improvements made within or on the structure.
5Major replacements are relatively expensive and are not considered repairs and include furnaces, boilers, roof replacement, central air conditioning, etc.
Source: Bureau of the Census, Department of Commerce


icon

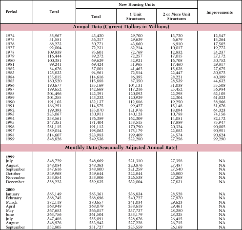
Table 20. Value of New Construction Put in Place, Private Residential Buildings: 1974-Present

Table 20. Value of New Construction Put in Place, Private Residential Buildings:

                    1974-Present
Source: Bureau of the Census, Department of Commerce


icon

Table 21. Gross Domestic Product and Residential Fixed Investment: 1959-Present

Table 21. Gross Domestic Product and Residential Fixed Investment: 1959-Present
Source: Bureau of Economic Analysis, Department of Commerce


icon

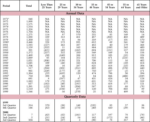
Table 22. Net Change in Number of Households by Age of Householder: 1971-Present*

Table 22. Net Change in Number of Households by Age of Householder: 1971-Present*
*Units in thousands.
rImplementation of new March CPS processing system.
1Data from 1971 to 1979 weighted based on the 1970 decennial census.
2Data from 1980 to 1992 weighted based on the 1980 decennial census.
3Beginning in 1993 CPS data weighted based on the 1990 decennial census.
Source: Current Population Survey, Bureau of the Census
Note: The source of annual data is the Current Population Survey March Supplement. The quarterly data source is the monthly Current Population Survey/Housing Vacancy Survey.


Tables 23-26

Home | Table of Contents | Summary | National Data
Regional Activity | Historical Data | Appendix | Subscription Form