Historical Data

Table 5. Manufactured (Mobile) Home
Shipments, Residential Placements, Average Prices, and Units for Sale: 1974-Present
icon
icon

Table
*Components may not add to totals because of rounding. Units in thousands.
Sources: Shipments -- National Conference of States on Building Codes and Standards Placements -- Bureau of the Census, Department of Commerce; and Office of Policy Development and Research, Department of Housing and Urban Development


icon

Table 6. New Single-Family Home Sales: 1964-Present*

Table
*Components may not add to totals because of rounding. Units in thousands.
Sources: Bureau of the Census, Department of Commerce; and Office of Policy Development and Research, Department of Housing and Urban Development


icon

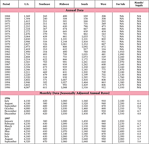
Table 7. Existing Single-Family Home Sales: 1968-Present*

Table
*Components may not add to totals because of rounding. Units in thousands.
Source: NATIONAL ASSOCIATION OF REALTORS®


Tables 8A-8C

Home | Table of Contents | New in This Issue | Summary
National Data | Regional Activity | Historical Data | Appendix | Subscription Form