Historical Data

icon

Table 1. New Privately Owned Housing Units Authorized:* 1959-Present**

Table
*Authorized in Permit-Issuing Places.
**Components may not add to totals because of rounding. Units in thousands.
Source: Bureau of the Census, Department of Commerce


icon

Table 2. New Privately Owned Housing Units Started: 1959-Present*

Table
*Components may not add to totals because of rounding. Units in thousands.
Source: Bureau of the Census, Department of Commerce


icon

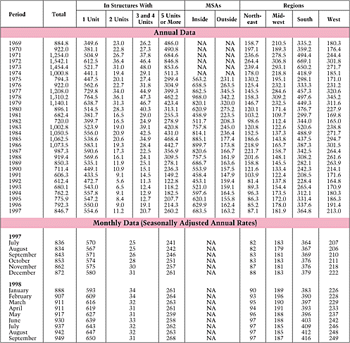
Table 3. New Privately Owned Housing Units Under Construction: 1969-Present*

Table
*Components may not add to totals because of rounding. Units in thousands.
Sources: Bureau of the Census, Department of Commerce; and Office of Policy Development and Research, Department of Housing and Urban Development


icon

Table 4. New Privately Owned Housing Units Completed: 1968-Present*

Table
*Components may not add to totals because of rounding. Units in thousands.
Sources: Bureau of the Census, Department of Commerce; and Office of Policy Development and Research, Department of Housing and Urban Development


Tables 5-7

Home | Table of Contents | Summary | National Data
Regional Activity | Historical Data | Appendix | Subscription Form