|
Table 16. Mortgage Originations, 1-4 Family Units by Loan Type: 1970-Present
Table 17. Residential Mortgage Originations by Building Type: 1970-Present
Table 18. Mortgage Originations, 1-4 Family Units by Lender Type: 1970-Present
Table 19. Net Acquisitions, 1-4 Family Units by Lender Type: 1970-Present
Table 20. Mortgage Delinquencies and Foreclosures Started: 1986-Present*
Table 21. Expenditures for Existing Residential Properties: 1968-Present
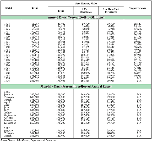
Table 22. Value of New Construction Put in Place, Private Residential Buildings:  1974-Present
Table 23. Gross Domestic Product and Residential Fixed Investment: 1959-Present
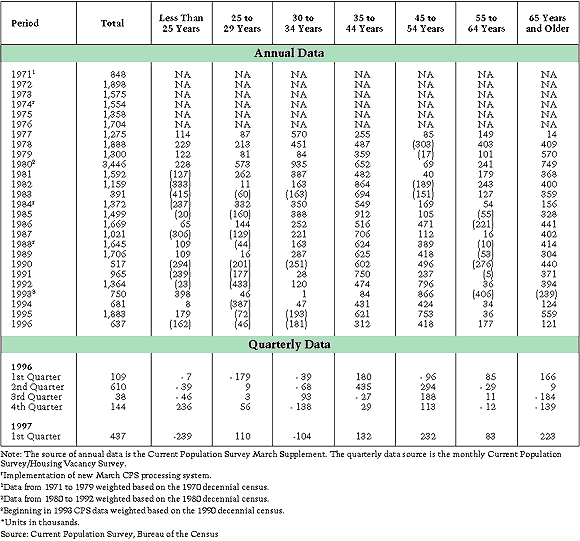
Table 24. Net Change in Number of Households by Age of Householder: 1971-Present*
Table 25. Net Change in Number of Households by Type of Household: 1971-Present*
Table 26. Net Change in Number of Households by Race and Ethnicity of Householder:  1971-Present
Table 27. Total U.S. Housing Stock: 1970-Present*
Table 28. Rental Vacancy Rates: 1979-Present
Table 29. Homeownership Rates by Age of Householder: 1982-Present
Table 30. Homeownership Rates by Region and Metropolitan Status: 1983-Present
Table 31. Homeownership Rates by Race and Ethnicity: 1983-Present
Table 32. Homeownership Rates by Household Type: 1983-Present
|