|

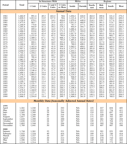
Table 1. New Privately Owned Housing Units Authorized: 1961-Present**
|
|
|

*Authorized in Permit-Issuing Places.
**Components may not add to totals because of rounding. Units in thousands.
Source: Bureau of the Census, Department of Commerce
|
|

Table 2. New Privately Owned Housing Units Started: 1962-Present* |
|
|

*Components may not add to totals because of rounding. Units in thousands.
Source: Bureau of the Census, Department of Commerce
|
|

Table 3. New Privately Owned
Housing Units Under
Construction: 1969-Present* |
|
|

*Components may not add to totals because of rounding. Units in thousands.
Sources: Bureau of the Census, Department of Commerce; and Office of Policy Development and Research, Department of Housing and Urban Development
|
|

Table 4. New Privately Owned Housing Units Completed: 1968-Present* |
|
|

*Components may not add to totals because of rounding. Units in thousands.
Sources: Bureau of the Census, Department of Commerce; and Office of Policy Development and Research, Department of Housing and Urban Development
|
|