|

Table 13. Mortgage Interest Rates, Points, Effective Rates, and Average Term to Maturity on Conventional Loans Closed: 1982-Present |
|
|

Source: Federal Housing Finance Board
|
|
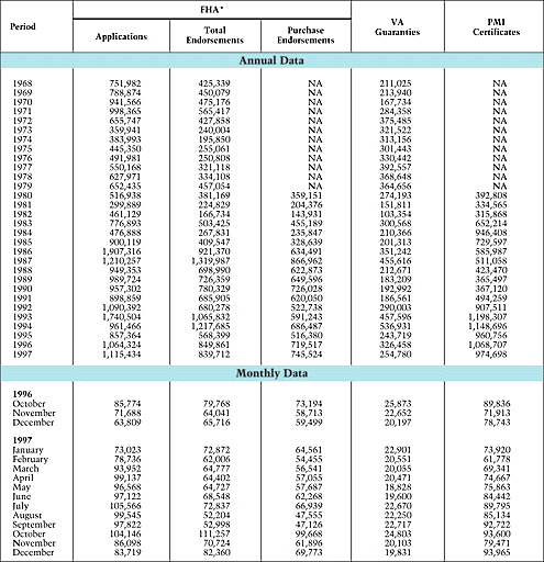
Table 14. FHA,VA, and PMI 1-4 Family Mortgage Insurance Activity: 1968-Present |
|
|

*These operational numbers differ slightly from adjusted accounting numbers.
Sources: Office of Housing, Department of Housing and Urban Development; Department of Veterans Affairs; and Mortgage Insurance Companies of America
|
|

Table 15. FHA Unassisted Multifamily Mortgage Insurance Activity: 1980-Present* |
|
|

*Mortgage insurance written -- Initial endorsements. Mortgage amounts are in millions of dollars.
1Includes both new construction and substantial rehabilitation under Sections 207, 220, and 221(d).
2Includes purchase or refinance of existing rental housing under Section 223.
3Includes congregate rental housing for the elderly under Section 231, and nursing homes, board and care homes, assisted-living facilities, and intermediate-care facilities under Section 232. Includes both new construction or substantial rehabilitation, and purchase or refinance of existing projects. Number of units shown includes beds and housing units.
Source: Office of Housing -- FHA Comptroller, Department of Housing and Urban Development
|
|

Table 16. Mortgage Originations, 1-4 Family Units by Loan Type: 1970-Present |
|
|

*Includes Rural Housing Service (formerly Farmers Home Administration) backed loans.
Sources: Mortgage Insurance Companies of America and HUD Survey of Mortgage Lending Activity
|
|