Historical Data

icon

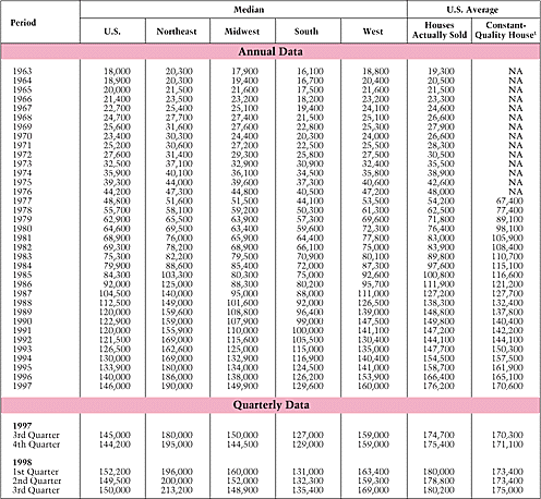
Table 8A. New Single-Family Home Prices: 1963-Present


Table
1The average price for a constant-quality unit is derived from a set of statistical models relating sales price to selected standard physical characteristics of housing units.
Sources: Bureau of the Census, Department of Commerce; and Office of Policy Development and Research, Department of Housing and Urban Development


icon

Table 8B. Existing Single-Family Home Prices: 1968-Present

Table
Source: NATIONAL ASSOCIATION OF REALTORS®


icon

Table 8C. Repeat Sales House Price Index: 1980-Present

Table
Base: First Quarter 1980 equals 100
Source: Office of Federal Housing Enterprise Oversight


Tables 9-12

Home | Table of Contents | Summary | National Data
Regional Activity | Historical Data | Appendix | Subscription Form