Historical Data

icon

Table 9. Housing Affordability Index: 1970-Present

Table
*The composite affordability index is the ratio of median family income to qualifying income. Values over one indicate that the typical (median) family has more than sufficient income to purchase the median-priced home.
1The Federal Housing Finance Board's monthly effective rate (points are amortized over 10 years) combines fixed-rate and adjustable-rate loans. Entries under Annual Data are averages of the monthly rates.
Source: NATIONAL ASSOCIATION OF REALTORS®


icon

Table 10. Market Absorption of New Rental Units and Median Asking Rent: 1970-Present

Table
Sources: Bureau of the Census, Department of Commerce; and Office of Policy Development and Research, Department of Housing and Urban Development


icon

Table 11. Builders' Views of Housing Market Activity: 1978-Present

Table
Source: National Association of Home Builders, Builders Economic Council Survey


icon

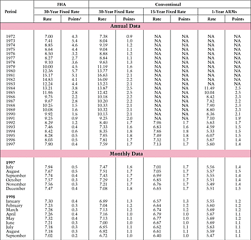
Table 12. Mortgage Interest Rates, Average Commitment Rates, and Points: 1972-Present

Table
1 Annual data for the FHA rate are based on the most active (modal) quote and the secondary market discount (excluding origination fee) until 1994. Subsequent annual and monthly data are based on the average rate quoted and the primary market discount (excluding origination fee).
Sources: Office of Housing, Department of Housing and Urban Development (FHA), and Federal Home Loan Mortgage Corporation (Conventional)


Tables 13-16

Home | Table of Contents | Summary | National Data
Regional Activity | Historical Data | Appendix | Subscription Form